doi: 10.56294/hl2024.493

 

ORIGINAL

 

Application of Local Agricultural Products from Patate Canton in Cutting-Edge Gastronomic Trends

 

Aplicación de los productos agrícolas locales del Cantón Patate en tendencias gastronómicas de vanguardia

 

Aníbal Fernando Franco Pérez1  *, Adriano Israel Tello Velasteguí1  *

 

1Universidad Regional Autónoma de los Andes. (UNIANDES), Ecuador.

 

Citar como: Franco Pérez AF, Tello Velasteguí AI. Application of Local Agricultural Products from Patate Canton in Cutting-Edge Gastronomic Trends. Health Leadership and Quality of Life. 2024; 3:.493. https://doi.org/10.56294/hl2024.493

 

Enviado: 26-03-2024                   Revisado: 31-07-2024                      Aceptado: 13-11-2024              Publicado: 14-11-2024

 

Editor: PhD. Prof. Neela Satheesh

 

Autor para la correspondencia: Aníbal Fernando Franco Pérez *

 

ABSTRACT

 

San Cristóbal de Patate, known as the Valley of Eternal Spring, is distinguished by its privileged climate, rich gastronomy—including traditional dishes such as arepas, grape chicha, and espumillas—and its lush vegetation, which provides a wide variety of local products. This study is based on a comprehensive literature review, grounded in the perspectives of various authors who theoretically support the research. The methodology applied combines quantitative and qualitative approaches, including a diagnostic and the collection of field information. The primary objective is to propose a strategy to strengthen the local gastronomy by incorporating cutting-edge culinary techniques into food and beverage establishments, using native ingredients from the canton. This proposal seeks to support restaurant owners in innovating their everyday dishes, enhancing the cultural and aesthetic value of Patate’s gastronomy to attract and delight both residents and visitors. In conclusion, the implementation of these modern techniques is expected not only to improve the gastronomic offering but also to enrich the tourist experience in the canton, providing a unique and renewed culinary proposal.

 

Keywords: Patate Canton; Agricultural Products; Everyday Dishes; Gastronomy; Culinary Trends.

 

RESUMEN

 

San Cristóbal de Patate, conocido como el Valle de la Eterna Primavera, se distingue por su clima privilegiado, su rica gastronomía—incluyendo platos tradicionales como arepas, chicha de uva y espumillas—y su exuberante vegetación, que proporciona una amplia gama de productos locales. Este estudio se fundamenta en una revisión exhaustiva de la literatura, basada en el criterio de diversos autores que respaldan teóricamente la investigación. La metodología aplicada combina enfoques cuantitativos y cualitativos, incluyendo un diagnóstico y la recopilación de información de campo. El objetivo principal es proponer una estrategia para fortalecer la gastronomía local mediante la incorporación de técnicas culinarias de vanguardia en los establecimientos de alimentos y bebidas, utilizando ingredientes autóctonos del cantón. Esta propuesta busca apoyar a los dueños de restaurantes en la innovación de sus platillos cotidianos, realzando el valor cultural y estético de la gastronomía patateña, con el fin de atraer y deleitar tanto a residentes como a visitantes. Como conclusión, se destaca que la implementación de estas técnicas modernas no solo mejorará la oferta gastronómica, sino que también enriquecerá la experiencia turística en el cantón, proporcionando una propuesta culinaria única y renovada.

 

Palabras clave: Cantón Patate; Productos Agrícolas; Platillos Cotidianos; Gastronomía; Tendencias Gastronómicas.

 

 

 

INTRODUCCIÓN

La relevancia de los productos locales en cada región es incuestionable, dado que las características únicas del suelo y el clima condicionan la producción agrícola. Introducir especies no autóctonas a estos ecosistemas puede generar desequilibrios ambientales. Sin embargo, la presión del mercado, que asigna un bajo valor a los productos locales, ha llevado a los agricultores a optar por variedades externas, lo que no solo perjudica el ecosistema, sino que también contribuye a la pérdida de la cultura y la identidad gastronómica regional.(1)

La gastronomía, para muchas culturas, es sinónimo de desarrollo y se erige como un elemento clave para la identificación de cada comunidad. Aprovechar los productos locales de manera integral es fundamental para preservar y resaltar la autenticidad cultural de cada región.(2) En el caso de Ecuador, la gastronomía está profundamente entrelazada con el desarrollo agrícola, reflejando la diversidad de sus regiones: la Costa, con sus especialidades en mariscos; la Sierra, con productos de clima frío; y el Oriente, con su exótica fauna y flora que nutren preparaciones distintivas.(3)

El patrimonio culinario no solo es una manifestación de las tradiciones culturales, sino también de las características naturales que distinguen a una región. En este sentido, la gastronomía actúa como un puente entre la vida rural y el sector de servicios, consolidando un vínculo que fortalece las economías locales y promueve el turismo.(1)

Históricamente, la gastronomía ha evolucionado como una disciplina en constante renovación, impulsada por la creatividad de los chefs y la experimentación culinaria. Más allá de satisfacer una necesidad básica, la gastronomía también se concibe como un arte que transmite significados profundos y ofrece una experiencia estética.(2) Hoy en día, la gastronomía contemporánea atraviesa un momento crucial, caracterizado por la coexistencia de nuevas tendencias y el esfuerzo por preservar la cocina tradicional. Esta dualidad crea una disyuntiva entre lo moderno y lo clásico, desafiando a los comensales a elegir entre la innovación y el respeto por las tradiciones.(2)

Las tendencias gastronómicas reflejan la capacidad colectiva de las sociedades para evolucionar y diferenciarse, desarrollando estilos distintivos. No obstante, la adopción de nuevos enfoques implica un esfuerzo considerable, lo que a menudo conduce a una valoración más alta de lo tradicional. Este fenómeno refleja la tensión entre la conservación de la identidad cultural y la búsqueda de mejoras en los métodos culinarios.

Las tendencias gastronómicas son ideas que se integran en la vida cotidiana por la atracción hacia nuevas formas de preparar y consumir alimentos.(2) Estas tendencias representan un cambio adaptado a las preferencias colectivas, aunque su vida útil es limitada, lo que implica que muchos conceptos culinarios tienden a perder relevancia con el tiempo. Hoy, la creación de platillos no busca tanto la permanencia como el impacto inmediato en los comensales, siendo reemplazados rápidamente por nuevas modas culinarias.(4)

La cocina de vanguardia tiene como propósito sorprender a los comensales mediante el uso de técnicas innovadoras que juegan con los sentidos, sobre todo a través de presentaciones visualmente impactantes. Estas técnicas involucran la manipulación de texturas y temperaturas de los ingredientes, sin comprometer su sabor esencial.(5) Además, la cocina de vanguardia tiene sus raíces en la Nouvelle Cuisine de la década de 1960, un movimiento que buscaba estimular los sentidos desde sus inicios y que ha pasado por diversas transformaciones hasta la actualidad.(6)

El desarrollo de técnicas culinarias no solo permite innovar, sino que también ofrece oportunidades para cautivar el paladar de quienes buscan una experiencia gastronómica única y novedosa. A su vez, la identidad cultural de una sociedad, como apunta Molano (2006), se construye históricamente a partir de elementos intangibles como las interacciones sociales, las creencias compartidas y las manifestaciones culinarias. Estos aspectos culturales son resultado de la contribución colectiva, lo que resalta su importancia dentro del patrimonio gastronómico.

A pesar de la abundancia de estudios sobre la satisfacción de los turistas con los productos turísticos en Ecuador, hay una notable carencia de investigaciones que exploren la interrelación entre gastronomía y turismo. Es esencial reconocer que la gastronomía no solo es una expresión cultural, sino también un motor clave del turismo local.(7) Este estudio busca analizar cómo la gastronomía ecuatoriana, a través de sus productos locales y técnicas culinarias, puede potenciar el turismo, contribuyendo a una mayor valorización de la cultura y el patrimonio del país.

 

método

Para el desarrollo de esta investigación, se empleó un enfoque mixto que combinó las modalidades cualitativa y cuantitativa. A continuación, se describen los métodos específicos utilizados:

·      Método Analítico-Sintético: este método fue clave para el proceso de teorización, ya que facilitó dos tareas fundamentales: la conceptualización y la clasificación de los elementos investigados. Se utilizaron tanto el análisis como la síntesis, permitiendo descomponer el objeto de estudio en sus componentes individuales y posteriormente reconstruir una visión integral de los mismos.

·      Método Analítico: se descompuso la entidad o fenómeno de estudio en sus partes constitutivas con el objetivo de examinar las causas, la naturaleza y los efectos de cada uno de estos elementos. Este enfoque permitió un análisis detallado y pormenorizado de los datos.

·      Método Sintético: este método se utilizó para reunir los resultados obtenidos mediante el análisis, con el fin de reconstruir una visión holística del objeto de estudio. La síntesis fue sistemática y permitió formular conclusiones integrales a partir de los elementos descompuestos previamente.

·      Método Inductivo: a través de este enfoque, se partió de casos particulares para llegar a generalizaciones sobre los fenómenos observados. Este proceso de razonamiento permitió identificar patrones comunes en los fenómenos individuales analizados.

 

En cuanto al paradigma cuantitativo, la investigación adoptó un diseño no experimental y transversal. Esto significa que se realizó sin manipular deliberadamente las variables, con el objetivo de describir tanto las variables como sus interrelaciones en un momento específico. Este enfoque se utilizó para obtener una visión detallada de las sociedades, hechos o situaciones bajo estudio.

Por otro lado, dentro del paradigma cualitativo, la investigación se caracteriza por su enfoque en la acción y la teoría documentada. El aspecto de acción se refiere a la medición numérica y el conteo, apoyado en técnicas estadísticas para identificar patrones de comportamiento en la población. La teoría documentada, por su parte, involucra un conjunto de métodos que se emplearon para buscar, procesar y almacenar información relevante contenida en documentos.

 

Población y muestra

·      Población: la población objeto de estudio puede incluir diversos elementos, como personas, animales, registros médicos, información sobre nacimientos, muestras de laboratorio o incluso accidentes de tráfico.

·      Muestra: la muestra se seleccionó siguiendo un conjunto de normas y procedimientos que permiten representar adecuadamente a la población total. Los elementos seleccionados fueron considerados como representativos de las características generales de la población.

 

Cálculo de la muestra y tipo de muestreo

Se utilizó una población finita, es decir, una población con menos de 100 000 elementos. Este tipo de población puede alcanzarse o superarse mediante conteo, y posee un conjunto de medidas y observaciones claras.

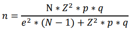
El tamaño de la muestra se calculó utilizando la fórmula estándar para poblaciones finitas:

 

 

Donde:

n = tamaño de la muestra buscada.

N= tamaño de la población.

Z2= nivel de confianza 95 % será 1,96.

e2= error de estimación 5 % (0,05).

p = probabilidad del éxito 0,50.

q = probabilidad del fracaso 0,50.

Aplicando estos valores a la fórmula:

 

 

n= 333

Por lo tanto, el tamaño de la muestra final es de 333 elementos, lo que garantiza una representatividad adecuada de la población.

 

RESULTADOS

A continuación, se presenta la tabulación e interpretación de la encuesta realizada a los agricultores del cantón Patate.

 

Principales productos agrícolas del cantón Patate

 

Tabla 1. Principales productos agrícolas del cantón Patate

Sectores

Hortalizas

Frutas

Legumbres

Triunfo

23

39

21

Los andes

30

43

24

Sucre

48

69

36

Total

101

151

81

%

30

46

24

 

Análisis e interpretación de resultados

Los principales productos cultivados en el cantón Patate son hortalizas, frutas y legumbres. Las frutas ocupan el mayor porcentaje de la producción, con un 46 %, seguidas de las hortalizas (30 %) y las legumbres (24 %). Esta distribución refleja la diversidad agrícola de la región, con un predominio de productos frutales.

 

Meses de baja producción agrícola

 

Tabla 2. Producción baja en el cantón Patate

Sectores

Enero -Abril

Mayo-Junio

Julio-Octubre

Noviembre - Diciembre

Triunfo

37

15

16

15

Los andes

43

18

19

17

Sucre

64

29

32

28

Total

144

62

67

60

%

43

19

20

18

 

Análisis e interpretación de resultados

La mayor caída en la producción agrícola ocurre entre los meses de enero y abril, con un 43 % del total anual. Otros periodos de baja productividad incluyen los meses de julio a octubre (20 %), mientras que los periodos con menor caída se encuentran en mayo-junio (19 %) y noviembre-diciembre (18 %). Este comportamiento estacional tiene un impacto directo en la oferta de productos agrícolas en el cantón.

 

Principales consumidores de los productos agrícolas

 

Tabla 3. Principales consumidores de productos agrícolas del cantón Patate

Sectores

Turistas

Restaurantes

de la zona

Personas aledañas del cantón

Triunfo

48

16

19

Los andes

30

43

24

Sucre

67

48

38

Total

145

107

81

%

44

32

24

 

Análisis e interpretación de resultados

Los turistas representan el mayor grupo de consumidores de productos agrícolas del cantón, con un 44 %. Les siguen los restaurantes locales (32 %) y las personas aledañas al cantón (24 %). Estos datos subrayan la importancia del turismo en la demanda de productos locales y el papel de los establecimientos gastronómicos en la promoción de la agricultura de la región.

 

Accesibilidad de los productos agrícolas

 

Tabla 4. Accesibilidad de los productos agrícolas en el cantón Patate

Sectores

Si

No

Triunfo

83

0

Los andes

97

0

Sucre

153

0

Total

333

0

%

100

0

 

Análisis e interpretación de resultados

El 100 % de los encuestados consideraron que los productos agrícolas del cantón Patate son accesibles. Esto se debe, en gran medida, a la producción local y a la competencia en el mercado regional, lo que facilita el acceso a estos productos frente a los importados.

 

Conocimiento sobre el uso de productos locales en la gastronomía

 

Tabla 5. Uso de productos locales en la gastronomía

Sectores

Si

No

Triunfo

21

62

Los andes

33

64

Sucre

42

111

Total

96

237

%

29

71

 

Análisis e interpretación de resultados

El 71 % de los encuestados desconocen el uso de los productos locales en la gastronomía, mientras que solo el 29 % tiene conocimiento de su empleo. Estos resultados resaltan la necesidad de promover la integración de productos locales en la oferta gastronómica, lo que podría beneficiar tanto a los agricultores como a la economía del cantón.

 

Pérdida del uso de productos locales en la gastronomía

 

Tabla 6. Pérdida de productos locales en la gastronomía

Sectores

De acuerdo

Desacuerdo

Triunfo

35

48

Los andes

42

55

Sucre

65

88

Total

142

191

%

43

57

 

Análisis e interpretación de resultados

El 43 % de los encuestados creen que se está perdiendo el uso de productos locales en la gastronomía, mientras que el 57 % no está de acuerdo. Aunque existe interés por parte de algunos chefs y restaurantes en promover la gastronomía local, estos datos sugieren que aún es necesario reforzar el uso de productos autóctonos.

 

Demanda de productos agrícolas por restaurantes locales

 

Tabla 7. Productos utilizados en restaurantes del cantón

Sectores

Si

No

Triunfo

83

0

Los andes

97

0

Sucre

153

0

Total

333

0

%

100

0

 

Análisis e interpretación de resultados

El 100 % de los agricultores consideran importante que sus productos sean valorados y demandados por los restaurantes locales, ya que su frescura, calidad y sabor aportan valor a la oferta gastronómica. Esto favorece tanto a los productores como a los restaurantes, fortaleciendo la economía local.

 

Pérdida de cultivos tradicionales

 

 

Tabla 8. Pérdida de cultivos tradicionales

Sectores

Si

No

Triunfo

0

83

Los andes

18

79

Sucre

9

144

Total

27

306

%

8

92

 

Análisis e interpretación de resultados

El 8 % de los encuestados señalan que algunos cultivos tradicionales han desaparecido. Esto puede deberse a cambios en las prácticas agrícolas o a la introducción de nuevos cultivos. Sin embargo, la producción agrícola del cantón sigue siendo diversa y rica.

 

Productos aptos para la cocina vanguardista

 

 

Tabla 9. Uso de productos locales en cocina vanguardista

Sectores

Si

No

Triunfo

83

0

Los andes

97

0

Sucre

153

0

Total

333

0

%

100

0

 

Análisis e interpretación de resultados

El 100 % de los encuestados creen que sus productos agrícolas pueden ser utilizados en la cocina vanguardista, destacando la calidad, frescura y versatilidad de los mismos. Esto ofrece oportunidades para promover la innovación gastronómica y fortalecer la identidad culinaria de la región.

 

Necesidad de capacitación en el uso de productos químicos

 

Tabla 10. Capacitaciones sobre el uso de productos químicos

Sectores

Si

No

Triunfo

83

0

Los andes

93

4

Sucre

149

4

Total

325

8

%

98

2

 

Análisis e interpretación de resultados

El 98 % de los agricultores consideran necesaria la capacitación en el uso de productos químicos en los cultivos, lo que indica una clara demanda de formación para asegurar su uso adecuado y seguro.

 

Asesoramiento técnico en los cultivos

 

Tabla 11. Necesidad de asesoramiento técnico

Sectores

Si

No

Triunfo

83

0

Los andes

92

5

Sucre

142

11

Total

317

16

Porcentaje

95

5

 

Análisis e interpretación de resultados

El 95 % de los agricultores valoran positivamente la necesidad de asesoramiento técnico para mejorar sus cultivos. Esta actitud refleja la disposición de los productores a recibir apoyo profesional para optimizar sus prácticas agrícolas, lo que a largo plazo puede mejorar tanto la productividad como la calidad de los cultivos.

 

DISCUSIÓN

Los resultados obtenidos reflejan varios desafíos y oportunidades en la promoción de productos agrícolas locales y su integración en la gastronomía del cantón Patate. Uno de los principales obstáculos es el desconocimiento por parte de los profesionales culinarios sobre el uso adecuado de técnicas de cocción innovadoras.(8,9) Muchos de los profesionales involucrados en la transformación de los alimentos no están familiarizados con las metodologías avanzadas de cocción, lo que limita su capacidad para incorporar productos locales de manera creativa y efectiva en la cocina vanguardista.(10) Esta falta de conocimiento técnico no solo afecta la calidad y presentación de los platillos, sino también la percepción que los consumidores tienen de la gastronomía local.(11)

Por otro lado, es fundamental que los responsables de los establecimientos de alimentos y bebidas asuman un rol activo en la promoción del valor nutricional de los productos y platillos que ofrecen.(12) Los colaboradores de estos establecimientos deben ser motivados a difundir entre los clientes la importancia de los ingredientes locales y su aporte nutricional.(13) La promoción del valor saludable y sostenible de la gastronomía basada en productos autóctonos podría fortalecer la percepción de calidad y autenticidad de los platillos, lo que no solo beneficiaría a los agricultores locales, sino también a la economía turística del cantón.

Un aspecto crítico que emerge de este estudio es la falta de difusión adecuada sobre los productos locales. La ausencia de una estrategia eficaz de promoción contribuye a que tanto los establecimientos de alimentos y bebidas como los habitantes del cantón no incorporen estos productos en sus preparaciones culinarias.(14) Esta carencia de visibilidad limita las oportunidades para que los productos locales se consoliden como ingredientes esenciales en la oferta gastronómica de la región. Una correcta difusión y educación sobre la riqueza gastronómica local podría impulsar el uso de estos productos, tanto en la cocina tradicional como en la de vanguardia.

Además, la situación subraya la necesidad de una colaboración más estrecha entre los productores agrícolas y los restaurantes locales. Aunque existe interés por parte de los agricultores en que sus productos sean demandados por los establecimientos, el desafío radica en crear una cadena de valor donde ambos sectores se beneficien mutuamente. Esta sinergia requiere un enfoque estructurado que incluya la formación técnica de chefs y cocineros sobre cómo maximizar el uso de ingredientes locales, así como la creación de una narrativa atractiva en torno a la gastronomía local, que resuene tanto en los habitantes como en los turistas.

En este contexto, resulta esencial implementar políticas y programas de capacitación continua tanto para los agricultores como para los profesionales del sector gastronómico. La adopción de técnicas de vanguardia, junto con una mejor comprensión del valor de los productos locales, podría revolucionar la forma en que los alimentos se producen, comercializan y consumen en el cantón Patate. Estos esfuerzos, además de mejorar la sostenibilidad de las prácticas agrícolas y gastronómicas, podrían posicionar a la región como un referente en turismo culinario, atrayendo a un público que valore la autenticidad y la innovación en la gastronomía.

Finalmente, la discusión destaca la necesidad de una estrategia coordinada entre los actores del sector agroalimentario y gastronómico para abordar las barreras identificadas. Esta estrategia debería estar respaldada por políticas públicas que incentiven el uso de productos locales y que promuevan el desarrollo de una gastronomía más consciente y sostenible, contribuyendo así al crecimiento económico y al fortalecimiento cultural de la región.

Este estudio responde acertadamente a uno de los roles fundamentales de la investigación científica, que es abordar problemáticas locales y proponer soluciones basadas en evidencia. Al enfocarse en el uso de productos agrícolas autóctonos y la implementación de técnicas gastronómicas innovadoras en el cantón San Cristóbal de Patate, la investigación no solo diagnostica las limitaciones actuales en los establecimientos de alimentos y bebidas, sino que también ofrece una propuesta concreta para mejorar la oferta gastronómica y fortalecer la identidad cultural de la región. Así, el estudio contribuye al desarrollo socioeconómico local, generando un impacto directo en la comunidad a través de la valorización de sus recursos y saberes tradicionales, alineándose con el propósito de la ciencia de mejorar las condiciones de vida a partir del conocimiento.(15,16)

El estudio actual sobre la gastronomía y el uso de productos locales en el cantón San Cristóbal de Patate está alineado con las estrategias nacionales de planificación turística que destacan la diversidad cultural, geográfica y gastronómica de Ecuador como atractivos clave para el turismo. Ecuador se ha posicionado como un destino atractivo gracias a sus variados paisajes y posibilidades turísticas, entre ellas el turismo gastronómico. En este contexto, la propuesta de fortalecer la oferta gastronómica del cantón mediante la incorporación de productos locales y técnicas culinarias innovadoras no solo promueve la identidad cultural de la región, sino que también contribuye al desarrollo del turismo sostenible, tal como lo establece el Plan Estratégico para el Desarrollo del Turismo Sostenible de Ecuador.(7)

Se sugiere un futuro estudio de revisión bibliográfica utilizando la metodología PRISMA 2020 para explorar la aplicación de los productos agrícolas locales en las tendencias gastronómicas de vanguardia. Este enfoque metodológico, que ha sido empleado con éxito en diversas investigaciones(17,18,19) permite sintetizar de manera rigurosa la literatura científica existente, proporcionando un marco claro y estructurado para analizar el uso de ingredientes locales en la cocina moderna. La revisión ayudaría a identificar las mejores prácticas y los desafíos que enfrentan los chefs al integrar productos autóctonos en la cocina contemporánea, además de evaluar su impacto en el desarrollo gastronómico sostenible y la preservación cultural. Este estudio contribuiría a la línea de investigación presentada, reforzando la importancia de valorizar los recursos locales dentro de la gastronomía de vanguardia.

 

CONCLUSIONES

Los establecimientos de alimentos y bebidas en el cantón San Cristóbal de Patate enfrentan un conocimiento limitado respecto al uso de productos locales y la aplicación de técnicas culinarias de vanguardia. Esta carencia no solo afecta la diversificación de la oferta gastronómica, sino que también limita las oportunidades para resaltar la riqueza y autenticidad de la gastronomía local. La incorporación de ingredientes autóctonos en las preparaciones diarias es esencial para promover una cocina que refleje la identidad cultural de la región y que, al mismo tiempo, pueda competir en un mercado gastronómico en constante evolución.

La revisión bibliográfica desempeñó un papel crucial en este estudio, proporcionando una base teórica sólida y permitiendo establecer definiciones precisas sobre las tendencias gastronómicas actuales y sus técnicas de elaboración. Este marco conceptual fue fundamental para comprender cómo la innovación y la tradición pueden integrarse en la oferta gastronómica del cantón, fomentando una cocina que combine modernidad y autenticidad.

La aplicación de métodos mixtos de investigación —combinando técnicas cualitativas y cuantitativas— permitió una recolección de datos exhaustiva y una mejor comprensión de los desafíos a los que se enfrentan los establecimientos de alimentos y bebidas en Patate. Los resultados obtenidos a través de encuestas y análisis de campo evidenciaron la falta de capacitación técnica y de difusión de productos locales, lo que ha impedido que la gastronomía local alcance su máximo potencial.

La propuesta derivada de este estudio busca fortalecer el servicio gastronómico de los locales en San Cristóbal de Patate mediante la introducción de técnicas culinarias de vanguardia y la utilización estratégica de productos locales. La implementación de esta propuesta no solo contribuirá a diversificar la oferta gastronómica para atraer a más turistas, sino que también promoverá una mayor conexión entre los agricultores y los restaurantes locales, creando una cadena de valor más robusta y sostenible. De esta manera, la gastronomía del cantón se posicionará como una opción innovadora y representativa de su patrimonio cultural, capaz de satisfacer las demandas del mercado moderno sin perder su esencia tradicional.

 

REFERENCIAS BIBLIOGRÁFICAS

1. Fusté Forné F, Medina FX, Mundet i Cerdan L. La proximidad de los productos alimentarios: turismo gastronómico y mercados de abastos en la Costa Daurada (Cataluña, España). Revista de Geografía Norte Grande. 2020;76:213-31. Disponible en: https://www.scielo.cl/scielo.php?pid=S0718-34022020000200213&script=sci_arttext&tlng=en

 

2. Mejía-Rivas M, Guiomar L. La gastronomía como medio para el desarrollo de innovaciones sociales. Revista de Investigación, Desarrollo e Innovación. 2020;11(1):23-33. Disponible en: http://www.scielo.org.co/scielo.php?pid=S2027-83062020000200023&script=sci_arttext

 

3. Ochoa DT, Palacios MFP, Parra MAG. Tradición, producto y técnica: bases para aportar valor a la cultura gastronómica ecuatoriana en la actualidad. Revista Publicando. 2020;7(25):128-35. Disponible en : https://dialnet.unirioja.es/servlet/articulo?codigo=7510884

 

4. Riffel C. Food design como performance y dispositivo simbólico: borrando fronteras entre diseño, arte y lo culinario para la creación de identidades como producto de comunicación e interacción social. 2019. Disponible en: https://bibliotecavirtual.unl.edu.ar:8443/bitstream/handle/11185/5230/Resumen_Riffel_Arquitectura.pdf

 

5. Arenós P. La cocina de los valientes. Ediciones B; 2011. Disponible en: https ://www .amazon .com /-/es /Pau -Aren %C3 %B3s /dp /8466649727

 

6. Arango J, Ruden A, Urrea JL, Villegas D. Importancia de los productos de la ganadería en la seguridad alimentaria de los pueblos latinoamericanos [Diapositiva de PowerPoint]. Bioversidad Internacional; 14 de febrero de 2020. Disponible en: https://cgspace.cgiar.org/bitstream/handle/10568/107325/Productos%20de%20origen%20animal-final.pdf?sequence=1&isAllowed=y

 

7. Vega Falcón V, Navarro Cejas M, Cejas Martínez MF, Mendoza Velazco DJ. Planificación turística y competitividad en el Ecuador. Revista Africana de Hotelería, Turismo y Ocio. 2019;8(5):1-10. Disponible en: https://www.ajhtl.com/uploads/7/1/6/3/7163688/article_16_vol_8_5__2019_ecuador.pdf

 

8. Medina PES, Vásquez FGC. Percepción de la gastronomía típica por parte de la población local de Ambato-Ecuador. Dilemas contemporáneos: Educación, Política y Valores. 2020. Disponible en : https://dilemascontemporaneoseducacionpoliticayvalores.com/index.php/dilemas/article/view/2144

 

9. Falcón AL, Serpa GR. Acerca de los métodos teóricos y empíricos de investigación: significación para la investigación educativa. Revista Conrado. 2021;17(T3):22-31. Disponible en : https://conrado.ucf.edu.cu/index.php/conrado/article/view/2133

 

10. Jiménez CDJJ. Cocina molecular: una innovación de vanguardia en la gastronomía internacional y en el Ecuador. Un Espacio para la Ciencia. 2021;4(1):11-22. Disponible en: https://revistas-manglareditores.com/index.php /espacio-para-la-ciencia/article /view/24

 

11. Asuad NE, Vázquez C. Marco lógico de la investigación científica. Economía UNAM. enero 2015. Disponible en: http://www.economia.unam.mx/cedrus/descargas/Metodo%20Científico_2015_2.pdf

 

12. Dzul M. Aplicación básica de los métodos científicos diseño no-experimental [Presentación de PowerPoint]. Universidad Autónoma del Estado de Hidalgo; 2010. Disponible en: https://www.uaeh.edu.mx/docencia/VI_Presentaciones/licenciatura_en_mercadotecnia/fundamentos_de_metodologia_investigacion /PRES38.pdf

 

13. Vergara Gantiva DA, Valencia Muñoz JA. Sensibilización sobre “La estructura del plato saludable” en la gastronomía de los restaurantes activos y registrados en Cámara y Comercio en Girardot Cundinamarca [Tesis doctoral]. 2021. Disponible en: https://repositorio.ucundinamarca.edu.co/handle/20.500.12558/3838

 

14. Arias Cárdenas FI. Plan de difusión de las frutas de Ambato y su identidad en la gastronomía tradicional [Tesis de licenciatura]. 2019. Disponible en: https ://dspace .uniandes .edu .ec /handle /123456789 /10825

 

15. Gómez Armijos C, Vega Falcón V, Castro Sánchez F, Ricardo Velázquez M, Font Graupera E, Lascano Herrera C, et al. La función de la investigación en la universidad: experiencias en UNIANDES. Quito: Editorial Jurídica del Ecuador; 2017.

 

16. Gómez C, Álvarez G, Fernández A, Castro F, Vega V, Comas R, et al. La investigación científica y las formas de titulación: aspectos conceptuales y prácticos. Quito: Editorial Jurídica del Ecuador; 2017.

 

17. Sánchez Sandoval PA, Reyes Espinoza LK, Burbano Pijal DC. Interpretación de la entrega de malas noticias en la práctica médica a través de la revisión de la literatura PRISMA 2020. Salud, Ciencia y Tecnología. 2024;4:931. Disponible en : https://revista.saludcyt.ar/ojs/index.php/sct/article/view/931

 

18. Torres Yánez JA, Analuiza Rea EN, Cevallos Fuel TA. Análisis mediante revisión bibliográfica con metodología PRISMA 2020 de las complicaciones quirúrgicas laparoscópicas de quistes ováricos. Salud, Ciencia y Tecnología. 2024;4:936. Disponible en : https://revista.saludcyt.ar/ojs/index.php/sct/article/view/936

 

19. Muñoz Padilla MB, Vega Martínez VA, Villafuerte Moya CA. Interpretación mediante revisión bibliográfica del uso del hidróxido de calcio como medicamento intraductal. Salud, Ciencia y Tecnología. 2024;4:924. Disponible en : https://revista.saludcyt.ar/ojs/index.php/sct/article/view/924

 

FINANCIACIÓN

Ninguna.

 

CONFLICTO DE INTERÉS

Ninguno.

 

CONTRIBUCIÓN DE AUTORÍA

Conceptualización: Aníbal Fernando Franco Pérez, Adriano Israel Tello Velasteguí.

Curación de datos: Aníbal Fernando Franco Pérez, Adriano Israel Tello Velasteguí.

Análisis formal: Aníbal Fernando Franco Pérez, Adriano Israel Tello Velasteguí.

Redacción – borrador original: Aníbal Fernando Franco Pérez, Adriano Israel Tello Velasteguí.

Redacción – revisión y edición: Aníbal Fernando Franco Pérez, Adriano Israel Tello Velasteguí.